-
如何用domain减少logger的传递
服务端开发中,全链路日志是硬需。 全链路日志的核心是 traceid,在接收请求的那一刻生成(或者从请求头获取),在请求处理中一直透传,用于附加在每个 log ...
fjywan 2023-01-02
658 0 0 -
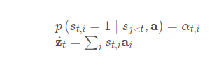
我还不知道Attention有哪些-公式代码都带你搞定
attention由来已久,让它名声大噪的还是BERT,可以说NLP中,BERT之后,再无RNN和CNN。那么attention到底有哪些呢?hard atte...
百川NLP 2023-01-02
616 0 0 -
Flink与Spark读写parquet文件全解析
Parquet 是一种开源文件格式,用于处理扁平列式存储数据格式,可供 Hadoop 生态系统中的任何项目使用。 Parquet 可以很好地处理大量复杂数据。它...
从大数据到人工智能 2023-01-02
662 0 0 -
云托管征文活动火热进行中,参与即送200元代金券!更有Switch、Kindle等精美好礼
少侠,请留步!欢迎体验腾讯云和微信团队联合推出的后端上云新姿势——微信云托管!汇集丰富开源模板一键部署,带你无需服务器,1分钟部署小程序/公众号/网站服务端。目...
腾讯云开发TCB 2023-01-02
614 0 0 -
利用cloudflare搭建属于自己的免费Github加速站
基于开源项目gh-proxy地址:https://github.com/hunshcn/gh-proxy.git
星橙 2023-01-02
685 0 0 -
如何调试vue3源码?
想获取vue3的源码,需要直接从github上vue3的仓库获取,vue3github源码地址为:
CherishTheYouth 2023-01-02
643 0 0 -
Vite + whistle:一劳永逸的开发环境代理方案
我们用webpack或vite等工具开发本地项目时,浏览器一般会输入的域名是:127.0.0.1:3000来调试页面。当要请求三方接口时「随便拿个api来举例子...
南山种子外卖跑手 2023-01-02
636 0 0 -
一次算法读图超时引起的urllib3源码分析
问题:发现某算法A,单独测试推理<50ms,但是整个流程花费200ms~3s,明显不正常,头大!!!
李三十一 2023-01-02
658 0 0 -
【腾讯出品】蓝鲸直播系列公开课(第二期)报名开启
回顾入口:https://bk.tencent.com/s-mart/community/question/5374
腾讯蓝鲸助手 2023-01-02
609 0 0 -
TKE之Traefik最佳实践
k8s的接入层有很多种,常见的7层负载均衡有nginx-ingress、traefik、kong等,还有每个云厂商为了对接自己的负载均衡产品所开发的控制器,tk...
聂伟星 2023-01-02
762 0 0
